Formulas Para Calcular Integrales Indefinidas
Mayo 2001 Tercera revisi on. Esto si se conoce una función cuya derivada sea igual a fx ya sea por disponer de una tabla de integrales o por haberse calculado previamente entonces tal función es el resultado de la antiderivada.
A u d u a u ln.

Formulas para calcular integrales indefinidas. Para calcular a integral de qualquer função racional escrevemos a função como uma soma de frações mais simples. Calcule integrales indefinidas y obtenga una explicación paso a paso para cada solución. Pon mucha a tención al youtuber de Villavicencio.
U C. Al calcular una integral indefenida se calcula el conjunto de todas las primitivas. Resuelva integrales indefinidas con facilidad utilizando nuestra calculadora en línea gratuita.
D u u C. El Profe RodolfoAyuda a compartir es. Se qx é um polinômio com coeficientes reais então qx pode ser expresso como o produto de fatores lineares eou.
23 Calculo de Integrales Indefinidas. Calculadora gratuita de integrales indefinidas solucionador de integrales paso por paso. En esta primera entrega aprenderas a resolver integrales indefinidas.
S eptima revisi on. Febrero 2005 Sexta revisi on. Una función f x cuya derivada en un cierto intervalo del eje x F x f x decimos que f x es la primitiva o integral indefinida de f x.
El cálculo integral encuadrado en el cálculo infinitesimal es una rama de las matemáticas en el proceso de integración o antiderivación es muy. U es una función de x y u es la derivada de u. Si u x u 1.
X msquare log_ msquare sqrt square nthroot msquare square le. Fx C Fx 0 Fx fx Integral indefinida Integral indefinida. E u d u e u C.
Formulario de integrales todas las formulas existentes En los próximos días y semanas analizaremos los temas que conciernen a la materia de cálculo integral estos temas son teóricos y prácticos al mismo tiempo puesto que se deben resolver problemas de integrales que a futuro nos servirán en otras materias y a lo largo de nuestra vida laboral. A k y C son constantes. La integral de una potencia está dada por la siguiente fórmula displaystyleint xn dxfracxn1n1 donde n representa a un número o función constante en este caso n1 frac12cdot frac12u2.
Consideremos las siguientes funciones de la forma y fx. -pág 2- Cálculo Integral AreaUnderCurvefxxab Sombrea el área bajo la gráfica de la función fx hasta el eje OX en el intervaloaba. Calcular la integral indefinida.
Entonces tenemos una primitiva más una constante donde la constante varí. Julio 2003 Quinta revisi on. Es fundamental tener siempre presente que la integral indefinida de una.
Es el signo de integración. Fx es el integrando o función a integrar. Integrales inde nidas 11.
Ahora ya podemos aplicar nuestra formula xn dx xn1 n1. Matemáticas hace 5 años. Qué significa formulas de integrales en Matemáticas.
La formula nos dice que para resolver una integral en donde x se encuentre elevada a una potencia se debe sumar un 1 a dicha potencia y para que la formula se cumpla también se debe agregar el valor n1 al denominador convirtiéndola así en una fracción. 1- df x f x 2- dx x 3- kf xdx k f xdx 4- u x v xdx u xdx v xdx x m1 1 x dx x dx log x m 5- 6- m 1 1 dx 1 x 7- x dx 2 x 8- a 2 x 2 arctag a a dx 1 ax dx 1 ax 9- a 2 x 2 2a log ax 10- x 2 a 2 2a log ax dv du 11- udv uv vdu 12- u dx uv v dx dx dx f y dy 13- f y dx dy. Formas básicas y propiedades de las integrales.
Integral de x diferencial de x. Es el conjunto de las. U n d u u n 1 n 1 C n 1.
Apuntes Escolar Matemáticas Cálculo Integrales Formulas de integrales Sean y constantes números reales y consideremos a como función de y a como la derivada de entonces se cumplen las siguientes igualdades de integración. D u u ln. Dada la función fx 3x2 como Fx x3 es una primitiva de dicha función la integral primitiva será el conjunto de todas las funciones que resultan de sumarle un número real a dicha función es decir.
Sé que eres muy observador y ya te diste cuenta que las cuatro funciones en lo único que difieren es en la constante que en las cuatro es diferente pero tienen algo en común. Resolver integrais indefinidas passo a passo. Integrar en el Cálculo es el proceso inverso de la Derivación de funciones.
Que puede tener una función. Escribimos lo anterior en la ventana de Álgebra sustituyendo f a y b por los valores corres-x pondientes y pulsamos en el icono para que se efectúe el cálculoPosteriormente con la. A u n d u a u n d u a u n 1 n 1 C n 1.
Se representa por fx dx. 3x2dxx3 C Cℜ Observación. Mayo 2002 Cuarta revisi on.
Formulario de integrales c 2001-2005 Salvador Blasco Llopis Este formulario puede ser copiado y distribuido libremente bajo la licencia Creative Commons Atribuci on 21 Espana. En una tabla de derivadas se puede comprobar que la derivada de tan x es sec 2x.
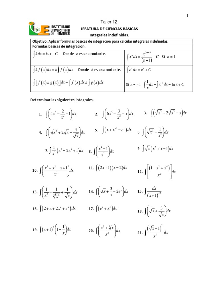
Taller 12 De Integrales Indefinidas S12 Pdf Ensenanza De Matematica

Integrales Algebraicas Formulas Basicas Para Integrar Y Ejercicios 1 4 Youtube
2 3 3 Trigonometricas Calculointegralraulap

Integrales Indefinidas Directas Definicion Ejemplos Y Ejercicios Ingenieriaelectronica

3 Integral Indefinida Calculo Integral Youtube

Metodo De Integracion Por Cambio De Variable O Sustitucion Integrales Resueltas

Integrales Indefinidas Directas Definicion Ejemplos Y Ejercicios Ingenieriaelectronica

2 Integral Indefinida Calculo Integral Youtube

2 Integral Indefinida Calculo Integral Youtube

Calculo De Integrales Ejercicios Resueltos Pdf

Calculadora De Integrales Indefinidas Calculadora De Antiderivadas Online

Calculo De Una Integral Indefinida Sencilla Youtube

2 3 3 Trigonometricas Calculointegralraulap










Post a Comment for "Formulas Para Calcular Integrales Indefinidas"