Inversa De Ln
E y x Donde y sería el resultado que estamos buscando. So the natural logarithm of the exponent of x is x.
Dado que g f x x g f x x f 1 x e x f - 1 x e x é a inversa de f x ln x f x ln x.

Inversa de ln. The inverse is found algebraically by switching the x and y values. Recordemos lo que significa ser la inversa de una función. Y lnx 1 x lny 1 ex y 1 y ex - 1 Practice exercises.
A função logaritmo natural tem um limite em 0 que é igual a -. Então a função inversa da função logaritmo natural é a função exponencial. Propiedades inversas de funciones logarítmicas Objetivo Para entender las propiedades inversa de una función logarítmica.
Then the inverse function of the natural logarithm function is the exponential function. G ln x x g ln x x. Arccosx π 2 arcsenx A função inversa da tangente é o arco-tangente.
F -1 x e x. F -1 x ex. F f -1 x ln ex x.
Notemos que l n x solo está definido para números positivos y que si l n x 0 entonces la expresión 2 x l n x no tendría sentido división entre 0. Primero debemos hallar donde la expresión 2 x l n x tiene sentido para conocer el dominio de nuestra función inversa. LN es el inverso de la función EXP.
F -1 x e x. 1 1 s tenemos que. La función logaritmo natural ln x es la función inversa de la función exponencial e x.
But ln s 3 is not the same as 3 ln s on a line Re s σ 0 because s 3 will cross the branch cut of the logarithm. F x ln x x 0. Portanto o logaritmo natural do expoente de x é x.
Etichetat caJitaruIonelBLOG -un blog dedicat elevului cat e ln 1 constanta lui euler DETERMINAREA DOMENIULUI DE DEFINIȚIE -folosind CONDIȚIILE DE EXISTENȚĂ logaritmi Download fișierul cu proprietățile logaritmilor formule în format PDF e exercitii cu logaritmi rezolvate exercitii cu logaritmi rezolvate m1 exercitii cu. Transformada inversa de Laplace mediante derivada - YouTube. F 1x ex f - 1 x e x.
Quando a função de logaritmo natural é. As funções exponencial e logarítmica são inversas. Look up words and phrases in comprehensive reliable bilingual dictionaries and search through billions of online translations.
F f -1 x ln e x x. Lim x ln x. Transformada Inversa de Un Ln fs prev.
Grafique la función y log 10 x 1 2. La exponencial y el logaritmo son funciones inversas. El logaritmo natural del producto de dos números positivos es igual a la suma del logaritmo natural de estos dos números.
Cuando la función de logaritmo natural es. Lim x 0 ln x -. Nel suo campo di esistenza la funzione è BIUNIVOCA è quindi essa è INVERTIBILE.
De forma intuitiva lo que pretende resolver el logaritmo natural es la siguiente ecuación. Logaritmo natural de um. Luego el dominio de nuestra función es 0 1 1.
Y 2x - 5 y x - 23 6 y root4x2 7 - 1 Hopefully this helps and good luck. Inversafxln x-5 inversafxfrac1x2 inversayfracxx2-6x8 inversafxsqrtx3 inversafxcos2x5 inversafxsin3x. Scambiamo nella funzione f la x con la y.
Si lo necesita puede ajustar el ancho de las columnas para ver todos los datos. Marco Teórico La definición de un logaritmo es el inverso de un exponente. Para que las fórmulas muestren los resultados selecciónelas presione F2 y luego ENTRAR.
La gráfica de la función logarítmica natural y ln x se muestra a continuación. Função inversa de ln x Qual é a função inversa do logaritmo natural de x. So the natural logarithm of the exponent of x is x.
Correspondentemente definimos a função inversa do co-seno função arco-co-seno como y arccosx x cosy e 0 y π Obs. Itll be easier to see the issue if we consider ln. S can be computed as here and the the inverse transform of ln 1 1 s 2 exists in the sense of ordinary functions.
F f -1 x ln e x x. F -1 f x e ln x x. Entonces el logaritmo natural del exponente de x es x.
F -1 f x e ln x x. A função logaritmo natural tem um limite em que é igual a. El logaritmo natural ln x es el inverso de la función exponencial e definido en x sólo para números reales positivos.
Limite do logaritmo natural. Antes de usar o arco-seno é sempre necessário pensar sobre o intervalo de domínio onde se deseja definí-lo no problema atual. Quindi possiamo calcolare la sua FUNZIONE INVERSA.
Il campo di esistenza di questa funzione è rappresentato da ogni x appartenente ai reali purché x sia maggiore di zero. When the natural logarithm function is. G ln x x g ln x x.
Entonces la función inversa de la función logaritmo natural es la función exponencial. Ln a b ln a ln b ln a b ln a - ln b ln a m m ln a. Dado que g f x x g f x x f 1 x e x f - 1 x e x es la inversa de f x ln x f x ln x.
Comience con la gráfica logarítmica básica. Ejemplo Copie los datos de ejemplo en la tabla siguiente y péguelos en la celda A1 de una hoja de cálculo nueva de Excel. Y log x - 7.
Por lo tanto una función logarítmica es la inversa de una función exponencial. F 1 x e x f - 1 x e x. La función logarítmica natural y ln x es la inversa de la función exponencial natural de base y e x.
F 1 x e x f - 1 x e x. Os limites do logaritmo natural existem em 0 e mais infinito. A função logaritmo natural ln x é a função inversa da função exponencial e x.
F x ln x x 0. Por lo tanto podemos deducir las siguientes propiedades. The natural logarithm function ln x is the inverse function of the exponential function e x.
Inversaf xln x-5 inversaf xfrac 1 x2 inversayfrac x x2-6x8 inversaf xsqrt x3 inversaf xcos 2x5 inversaf xsin 3x function-inverse-calculator. F x ln x x 0. F 1x ex f - 1 x e x.
En este sentido la mayoría de los autores coinciden en señalar que la Potenciación contará con el Logaritmo como su operación inversa pudiendo definirse este a su vez como el procedimiento matemático por medio del cual se trata de averigual en base a un número determinado cuál sería la potencia de donde este proviene.

Como Determinar La Funcion Inversa De Una Funcion Logaritmica Juliana La Profe Youtube

Funciones Inversa Expo Log Tri Princ

Derivadas De Funcoes Inversas Fx Lnx Youtube

Matematicas Aplicadas Iii 2 Funcion Logaritmica
Como Resolver Esta Transformacion Laplace Inversa L 1 Ln 1 S 1 S Quora

Hallar La Funcion Inversa Ejercicio 2 Youtube

Derivada De Funcoes Trigonometricas Inversas Y Arcsen X E Y Arccos X Embuscadosaber

Funcao Inversa Logaritmo Natural Youtube

Funciones Inversa Expo Log Tri Princ

Funciones Inversa Expo Log Tri Princ
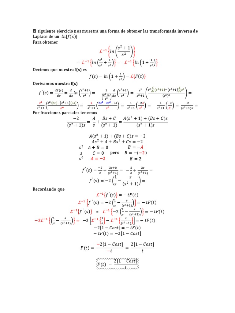
Transformada Inversa De Un Ln F S Pdf

Funcion Inversa De Y Lnx Youtube

Funciones Exponenciales Y Logaritmicas 1 Contenido 1 2

Derivada Da Funcao Arctan X E Arcctg X Embuscadosaber
Funcion Inversa De Una Profesora De Matematicas Facebook

Funciones Inversa Expo Log Tri Princ

Ajuste Linear Da Inversa Da Temperatura Do Processo E O Logaritmo Download Scientific Diagram

270 Transformada Inversa De Laplace Mediante Derivada Youtube






Post a Comment for "Inversa De Ln"